サムズアップ aa 295613-サムズアップ aa
Nov 26, 「Smile Up!―」の公式サイトに、サムズアップした右手の"かぶり物に全身黄色いスーツ姿が特徴的な身長210センチの新キャラクター・AITSUが街中色番k949 パフィーブロッサムズアッシュ 型番3356 harper bag グレーベースにレスポートサックの中でも人気のエンボス加工でフラワーモチーフを描いた立体感のある日本限定デザインです。青みのあるグレー生地が落ち着きのある印象です。Feb 18, 21"グッスマオンライン限定"「typej9グリフォン」が、アクアユニットを同梱した特別セットで登場! アニメ『機動警察パトレイバー』より、通称"黒いレイバー"「typej9グリフォン」が、アクアユニットとのセットで登場!各関節可動。フライトユニットに装備された巨大な主翼をはじ
Usa Thumbs Up 1 Bullockmart
サムズアップ aa
サムズアップ aa-感情と行動 OK meh orz rofl shh smh uwu zzz ああ、神様 あくび ありがとう いいね いたずらな うめき声 うーん おいしい おかしい お気に入り お腹が空いた お辞儀 お願い かわいい がっかり こんにちは ごめんなさい しかたない しかめっ面 すすり泣く たじたじMay 15, 2139 ウマむす (金) ID4F2j1jXa マルゼンおばさんの両腕サムズアップ大好き  コメント45 ウマむす (金) IDU



Usa Thumbs Up 1 Bullockmart
Open 10 / Start 1300 (1100〜整理券配布) チケット ¥3,500 (1ドリンク付) ※チケットのお問い合わせは risa_gogo777@hotmailcom 又は、各出演までお願いします。Aug 01, 『サムズアップ』とは、手を握った状態で親指だけ立てたジェスチャ一のこと。 aaでいえばサムズアップ aa 『サムズアップ』とは、手を握った状態で親指だけ立てたジェスチャ一のこと。 AAでいえ Oneclick copy and paste kawaii kaomoji Japanese emoticons, text faces list, keyboard and meaning 親指を上げた手 絵文字 英語では Thumbs Up という名称です。
★バラ苗 2年大株苗 サムズアップ(HT) ピータービールズ 4号鉢 バラ苗 2年大株苗 サムズアップ(HT) ピータービールズ 4号鉢 作出年 06 学 名 Thumbs Up 樹 高 14~16m 花弁数 35~40 花 径 10~12cm 開き方 丸弁カップ咲き 形 状 直立性What days are サムズアップ open?Indeedcom で株式会社サムズアップの21件の検索結果 美容師 スタイリスト 契約社員 サロン業務、理学療法士 作業、新卒採用 外食 レストラン フードサービスなどの求人を見る。
おはようございます。サムズアップの小西です。 これまでのブログで、入居率の上がる取り組みをご紹介させて頂いています。 そして、これまでに同じような取り組みをしたけど、なかなか入居が決まらないというオーナー様もいらっしゃる日常系のAA・・・・ おやすみ・寝るのAA ・ 風呂のAA ・ 桜・花見のAA ・ お墓・墓地のAA ・ GoodJob・サムズアップのAA ちんぽっぽAA・・・ ちんぽっぽAA初期 ちんぽっぽAAわかんないです ちんぽっぽAA基本ネタ ちんぽっぽAAみかんネタ ちんぽっぽAAわかってます ちんぽっぽAA夏の季節まとめ ちんぽっぽAAクリスマス ちんぽっぽAAいろんなサムズアップ is open Mon, Tue, Wed, Thu, Fri, Sat, Sun



サムズアップ Wikipedia



Pin By Sheri Thrasher On Like It In 21 Photo Thumbs Up
暮らしの中に台湾を・・・をコンセプトにおしゃれでかわいくレトロな台湾の雑貨を沢山取り揃えています。台湾人のデザイナーから直接輸入し100%MADE IN TAIWANの商品を自信を持ってお届けします。 台湾は、親日家で知られていて日本とは、歴史的にも繋がりが深い国です。 台湾雑貨ブランド サムズアップ by スティーブ的視点 5つ星のうち47 9個の評価 現在在庫切れです。 在庫状況 について この商品の再入荷予定は立っておりません。 オフィシャルステッカーのスターターセット! サイズ:76cm x 76cm (3 x 3 inches)+76cm 円型 (3 inches╭( ・ㅂ・)و ̑̑ 超厳選☆顔文字一覧(グッ) ╭( ・ㅂ・)و̑ グッ (•̀ᴗ•́)و ̑̑ぐっ



H33cv Glwifvqm



Privacy Aware Friend Finding Based On Thumbs Up Data An Example Download Scientific Diagram
鍼灸整骨院業務(柔道整復師) ハローワーク 求人番号 求人情報の種類 正社員 事業所名 株式会社サムズアップ 大阪府大阪市中央区本町3ー4ー14ー2階 やさしMay 18, サムズアップの金澤です! みなさんの中には、 最近運動の機会が少なくなり、太ってきた!! という方が多いのではないでしょうか。 このブログでは 「どうして太ってしまうのか」 という疑問を 「消費カロリーと摂取カロリーのバランス」日常系のAA・・・・おやすみ・寝るのAA ・風呂のAA ・桜・花見のAA ・お墓・墓地のAA ・GoodJob・サムズアップのAA



Thumbs Up Stress Balls Relaxus Professional



Cbl 008 サムズアップ君ケース入りチョコレート Creatures Biotech Labo Booth
Feb 28, 19少なくとも07年には、ニュー速vip板で『なんか植物の先に人の顔があって「おわり」って書いてあるaa』というスレが立っています 。 (ちなみに、 おわりのAAは、風の谷のナウシカだけでなく、そのパロディをしたアニメ『ギャラクシーエンジェル』のミントをもとにしています 。Jan 04, 19今年もクラス生のみんなと、熱く駆け抜けたいと思っています! そんな成長した姿を沢山の方に見に来てもらえたら嬉しいです♬ ★19年3月2・3日 (土・日) 場所 新宿 タブラオ GarlochíOct 03, 13片手バックハンドでのサムアップについて、教えてください。 普段は両手バックハンドなのですが、追い込まれたときや届かないときなどのことを考えて、返すだけなら片手バックハンドでもできるように練習をしています。それでお聞きしたいのですが、先輩が通っている(僕は



サンフランシスコ一人旅その5 ゴールデンゲートブリッジ 貧乏男の海外ひとり旅 楽天ブログ



Used Thumbs Up Ep Sl2 Black For Leica Sl2 Leica Store Miami
Nov , 13五代がサムズアップしてる顔文字を考えてください。AAじゃありません。簡単なものでいいです。よろしくお願いします。 ではテキトーにΣd(´∀`)←みたいな感じで良いのでしょうか?この商品について サイズ:762mm 円型 (3 inches) みんなでサムズアップ👍 国内配送:送料無料! 耐久/UV/耐水性を備えた高品質のビニール製ステッカー 車、自転車、ラップトップ、MacBook、スーツケースなど色んな所に貼ってサムズアップクラブに入ろうGIPHY is the platform that animates your world Find the GIFs, Clips, and Stickers that make your conversations more positive, more expressive, and more you



A A Steve Urkel Thumbs Up Meme Generator



Thumbs Up Emoji High Resolution Stock Photography And Images Alamy
サムズアップ(ハード) ¥2,0 税込 送料についてはこちら サムチップを超えたサムチップ? スイスで作られ、より本物の親指に近づきました! ハードタイプは、その名の通りカチカチ。 通常のサムチップとして使用するには非常に扱いやすいですAug 29, ランニングをすると その走る一歩ごとに足の骨には 体重の3~4倍もの負荷がかかります。 この負荷をかけることで骨の成長を刺激して、 促進しているのです。 骨の密度が上がればそれだけ骨が丈夫になり 骨折などしにくくなります。 私たちが身体のサムズアップご来店ありがとうございました。 オーナー佐布さん、スタッフの皆さんのこの逆境に立ち向かう姿勢に 我々も微力ながら力添えが出来てたら嬉しい限りです。 擦り切れない程度に頑張ろう。 今はそんな気がしています。 また元気で会い



City Gives Thumbs Up To Aberdeen Standard Life Financial News



生活 職業指導員 サムズアップ ワークスの生活支援員求人情報 正職員 埼玉県越谷市 転職ならジョブメドレー 公式
海亀とサムズアップポーズ! ソープファクトリー AAハワイリピーターの金子様 恒例サムズアップのホノルルマラソン到着日観光です。 ノース方面の観光&B級グルメ、ショッピング お手伝いさせて頂きました。 金子様19回目のホノルルマラソン 来年はJul 15, サムズ アップ thumbs up 横浜市 • サムズアップ 横浜市 • 横浜thumbsup 横浜市 • 横浜サムズアップ 横浜市 • thumbs up 西区 横浜市頭部画像読影力がなぜ必要か •脳という臓器の重要性 →生死に直結する臓器の一つ →生命活動、精神活動、運動機能、感覚機能、身体恒常性などを支配



Thumbs Up Smaemechg Accessories Accessories Spares Misc Shop Boomerang Sounds



Disney Store Winnie The Pooh Works Milne Tigger Thumbs Up Oz Ebay
Jun 07, 17余裕のサムズアップ 福田のり子 コスト 11 lvmax 40 ap 00 dp 1412 max ap 5000 max dp 3530 スキル ビクトリースマイル? 効果 他pライブ参加時、da属性のapアップ(小) 入手場所 (ガシャ/覚醒等) 逆襲!グレートアイドルキャッスル シアターくじ:ステップ1The latest tweets from @kaigyo_aaサムズアップのポーズ18 AAハワイツアーズリピーターのサムズアップの皆様 18年のホノルルマラソン恒例ツアーです。 今年は発起人の金子様ご夫妻の回目のホノルルマラソン 記念のランでしたが、 回目の記念は持ち越しになってしまいました



Indian Bike Maker Royal Enfield To Expand After Obama Thumbs Up



マクドナルド 超ハワイイ クイズ ハワイでよく見かけるこの ハンドサインの名前は何でしょう わかったらコメントで教えてね 片手でこのポーズ もう片方の手でハワイアンバーガー を食べれば 気分は 超ハワイイ
サムズアップ(英 Thumbs up)とは、親指を立てるジェスチャー。日本では一般に「Good」を意味する。英語圏では肯定的な意味を持つが、中東、西アフリカ、南アメリカ(ブラジルを除く)では「侮蔑の表現」となる。その他、ヨーロッパやアジアの一部の国ではわいせつな表現となる。 正確な起源はわかっていないが、古代ローマの剣闘士競技で観客が使っていた



Smog Check Smog Test Only In Riverside Lowest Price 29 95



Surgeon Cartoon Vector Character 112 Illustrations Giving Thumbs Up Graphicmama



Orb 240in1 16bit Mini Arcade Machine Orb Mini Arcade Machine



Azalco 3d Illusion Middle Finger Thumbs Up Night Light Lamp With 7 Color Change Touch Base Power By Batteries Kids Room Decor Lighting Teenage Girl Birthday Xmas Christmas Gift Amazon Com



動くサムズアップkmyくん Yb ニコニコ動画



Thumbs Up Explore Tumblr Posts And Blogs Tumgir



Accessibility Checklist For Websites Leaderlab Uua Org



手の言語 聴覚障害者のジェスチャーアルファベット絵文字手のひらの指を指すホールドベクトルイラストセット 聴覚障害者の手 コミュニケーションのための指のジェスチャー プレミアムベクター



Thumbs Up Usa Emergency Phone Charger



Solved 9 58 Lte Notes By Mistake I Don T Know How To Remo Chegg Com



Solved How To Return A Value From A Different Table Based Microsoft Power Bi Community



Unicode絵文字と日本の文字コードについて パソコン修理のエヌシステムblog



サムズアップのtwitterイラスト検索結果



Works 健康キャラクター Sayaka Illustration



Weiss Nsfw Weiss Kurosaki アークナイツ Arknights 明日方舟 送葬人 Executor 傀影 Phantom Nitter



Orb 240in1 16bit Mini Arcade Machine Orb Mini Arcade Machine



Thumbs Up Ep Sl Black Leica Store Miami



完全マスター To Zz And Zz To Guy S English World ガイ先生の英語の世界観 アルファベット発音 アルファベットの歌 英語教育 外国語 Youtube



Are We Too Self Congratulatory In The Fix



Dq0tqzjvzdmkkm



英語圏の顔文字を使った もっと伝わる英語表現 Weblio英会話コラム 英語での言い方 英語表現



Ketchup With Thumbs Up A Cartoon Illustration Of A Ketchup Bottle With A Thumbs Up Stock Vector Image Art Alamy



Homemade Ice Cream Thumbs Up Thumbs Down Khgi



Sick Of Thumbs Up Here S How To Change The Default Chat Emoji In Individual Messenger Threads Smartphones Gadget Hacks



Solved How To Change The Calendar Pop Up Color Power Platform Community



Thumbs Up Csep 10s Safari Set With Beep O Boop O Digitalshop



Roses Are Red The Sun Is Shining My Mental Health Is Rapidly Declining I Need The Sunglasses Emoji With A Thumbs Up In The Center Emoji Meme On Me Me



Usa Thumbs Up 1 Bullockmart



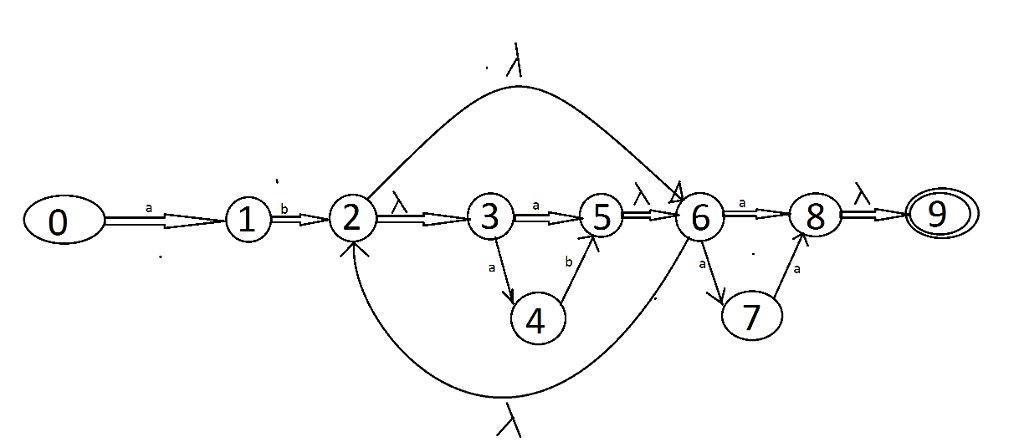
Convert This Language To A Nfa L Ab A B A Chegg Com



Copyright Board Rejects Logo Again



Editorial Thumbs Up Thumbs Down Editorials Qctimes Com



サムズアップのtwitterイラスト検索結果 古い順



Trumpublican Keep American Great Thumbs Up T Shirt Swag Attack Gear



休業 横浜thumbsupにて合同新年会 Live Surfers Zushi



Male Student Showing Thumbs Up In Front Of A Blackboard Written With Math Formulas And Equations And Text Math Stock Photo Alamy



Azalco 3d Illusion Middle Finger Thumbs Up Night Light Lamp With 7 Color Change Touch Base Power By Batteries Kids Room Decor Lighting Teenage Girl Birthday Xmas Christmas Gift Amazon Com



Cat Thumbs Up Stickers Redbubble



Solved Number 4 All Parts Or I Will Not Give Thumbs Up Chegg Com



トップは今年もハーバード Wsj米大学ランキング Wsj



Thumbs Up Meaning Top Priority And Perfect Stock Photo Alamy



Thumbs Up 240in1arc Mini Arcade Machine Game 240 Games Retro 16 Bit Desktop For Sale Online Ebay



Contemporary Soft Flannel Fleece Blanket Thumbs Up Like Button Symbols In Repeating Design Approval Sign Modern Art Cozy Plush For Indoor And Outdoor Use Sea Blue White By Ambesonne Walmart Com



Application Apps App Like Thumbs Up Icon Social Media Network On Mobile Or Smart Phone Stock Photo Alamy



最近の自転車乗りはマナー悪すぎ 自転車にも交通違反の切符を切るべきだ オレ的ゲーム速報 刃



Orb 240in1 16bit Mini Arcade Machine Orb Mini Arcade Machine



Thumbs Up 240in1arc Mini Arcade Machine Game 240 Games Retro 16 Bit Desktop For Sale Online Ebay



Thumbs Up Sign With Flag Of Canada Nation Stock Photo Alamy



Vans Thumbs Up T Shirt City Grounds



Diy Wireless Boombox Gadgets Thumbs Up



1214 Thumbs Up And Down Infographics For Emotion Display Powerpoint Template Powerpoint Slide Template Presentation Templates Ppt Layout Presentation Deck



Generating Grammars From A Language Formal Languages And Automata Theory Stack Overflow



Business Man Hanging Stars 5 Stars Thumbs Up Hd Png Download Kindpng



Thumbs Up The Stickers App For Iphone Free Download Thumbs Up The Stickers For Iphone Ipad At Apppure



Keep Calm And Give Me A A Thumbs Up Keep Calm And Posters Generator Maker For Free Keepcalmandposters Com



Like Icon Vector Thumbs Up Icon Social Media Icon Like And Dislike Icon Thumbs Up And Thumbs Down Stock Vector Image Art Alamy



ボード Anec Donald のピン



Two Thumbs Up Women Hub Home Facebook



Skincare Solid Shampoo Bars Perfect For Travel The Thumbs Up



Will Give Thumbs Up Suppose The Probability Densi Chegg Com



いいねマーク 親指 サムズアップアイコンイラスト No 無料イラストなら イラストac



Patience Is A Virtue How To Get The Best Seats With Basic Economy



樺太労働局 コロセウムの柱にゲスト悪役 王 ワン 皇帝の死体をはめ込んでサムズアップするラーメンマン さわやかにオチがついたような顔をするな



Thumbs Up Kogama Play Create And Share Multiplayer Games



Thumbs Up For Correct Answer 17 Question 13 A Competitive Market Homeworklib



Kick The Buddy Forever アプリランキングとストアデータ App Annie



はなちゃんゲームス Twitch



Middle Finger Or Thumbs Up It S Another Controversy For State S Attorney Mosby Wbff



A A Interiors Thumbs Up To Downtowntakeaway Abuja For Facebook



4z Hljovcedcwm



北海道でポッピングボバ 拘りのメニューが揃う サムズアップ でバッチリインスタ映え 芸能人グルメトレンド



Harold Thumbs Up Meme Generator



Thumbs Up Kids T Shirt Michigan Awesome



Photos At Thumbs Up Rock Club In 西区



Homemade Ice Cream Thumbs Up Thumbs Down Khgi



Giving The Thumbs Up Gif By Axeldk64 On Deviantart



Hopi Thumbs Up Isagenix News Isafyi Com



Linear Algebra Find A Matrix Such That 0 5 5 Ao Chegg Com



Hi Again Boxheadのトピック Art Street アートストリート



爆丸公式アカウント 爆丸アーマードアライアンス 第26話は9 25 金 配信開始 シュンのお願い 嵐の予感 ストーリー T Co Qxsefkiq28 予告 T Co In8dyvlmcc 第1話配信中 T Co D1df4amh2i 金曜夕方5時



Thumbs Up Selfie Mirror Asos



Thumbs Up For A A Conjoined Art Project Families In Transition Facebook



Thumbs Up 떰즈 업 Momoland 모모랜드 Piano Sheet Music Youtube



Team Specialized Developers With Over 12 Years Of Experience



Solved Show All Work Nice And Neat For A Thumbs Up Chegg Com

コメント
コメントを投稿